|
|
|
|
לא הוגדרו כיתה או מחבר
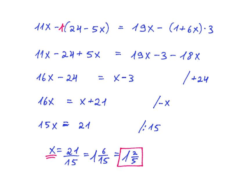
תרגיל 86 עמוד 697

הרשמה לאתר ורכישת מנוי

המנוי אינו מתחדש אוטומטית. ישנה הגבלת צפיה של 20 פתרונות ביום.האתר הינו "שומר שבת", לא ניתן להכנס לאתר ולצפות בפתרונות החל מכניסת שבת/חג ועד לצאת שבת/חג.

הרשמה לאתר באמצעות קוד קופון

הרשמה לאתר ורכישת מנוי